A major milestone has been reached at CERN’s Antimatter Factory. Using an innovative technique to cool positrons with laser-cooled beryllium ions, the ALPHA collaboration has increased the rate of antihydrogen production by a factor of eight. The advance, reported in Nature Communications, has transformed the scale and pace at which the experiment can create and study atomic antimatter.
In a paper published today in Nature Communications, researchers at the ALPHA experiment at CERN’s Antimatter Factory report a new technique that allows them to produce over 15 000 antihydrogen atoms – the simplest form of atomic antimatter – in a matter of hours.
“These numbers would have been considered science fiction 10 years ago,” said Jeffrey Hangst, spokesperson for the ALPHA experiment. “With larger numbers of antihydrogen atoms now more readily available, we can investigate atomic antimatter in greater detail and at a faster pace than before.”
Antihydrogen forms when antiprotons and positrons are merged inside ALPHA’s complex arrangement of Penning traps and superconducting magnets. While antiproton manipulation has steadily improved over the past decade, positrons had remained comparatively warm, typically at temperatures around 15–20 K even after standard cyclotron cooling. At these temperatures, only a small fraction of the antiprotons bind with positrons to form cold, trappable antihydrogen.
The new method introduces laser-cooled ⁹Be⁺ ions directly into the same electromagnetic well that holds the positrons. As the ions are cooled by a 313 nm laser beam, they act as a cold thermal reservoir, drawing energy away from the positrons through collisional equilibration. This process — known as sympathetic cooling — reduces the positron temperature to approximately 7–10 K.

Figure 1. Cross section of the ALPHA-2 experimental apparatus, highlighting the trap electrodes, superconducting magnets, and Be⁺ cooling-laser paths. Taken from Akbari, R., de Araujo Azevedo, L. O., Baker, C. J. et al. Be⁺-assisted, simultaneous confinement of more than 15,000 antihydrogen atoms. Nat. Commun. 16, 10106 (2025). https://doi.org/10.1038/s41467-025-65085-4. CC-BY-4.0.
This is a subtle and carefully controlled plasma-physics process. Changing the Be⁺ laser detuning shifts the ion temperature, compresses or expands the plasma radius, and alters the rotation frequency of the combined Be⁺–positron plasma. These variables in turn determine how effectively antihydrogen can form when antiprotons are injected.
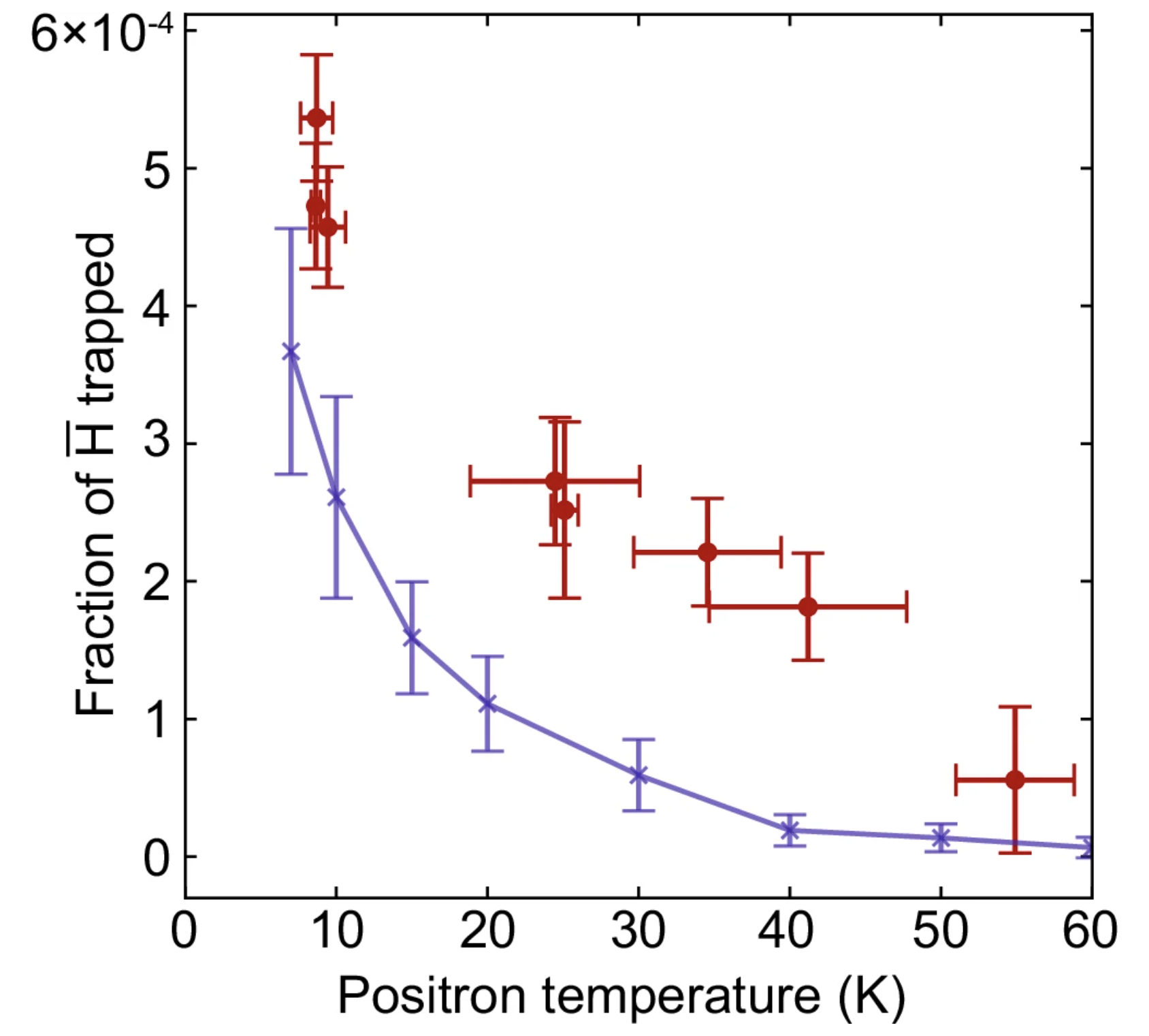
For the first time, ALPHA could deliberately tune the positron temperature and directly observe its impact on antihydrogen synthesis. The results were striking: lower positron temperatures led to dramatically higher production and trapping efficiencies, in line with theoretical expectations for the temperature dependence of three-body positron-assisted antihydrogen formation.
Once positrons cooled to the optimal temperature regime, ALPHA implemented a multi-cycle accumulation method that allows antihydrogen to be stored over several hours within the magnetic-minimum neutral atom trap. Each synthesis cycle lasts about four minutes, during which antiprotons are merged with the cooled positrons. The newly formed antihydrogen atoms that are cold enough remain confined.
This operational mode revealed new challenges. Sensitive position-tracking detectors recorded distinctive patterns of antiproton annihilations throughout the apparatus, enabling the collaboration to identify and resolve previously unseen loss channels. Adjustments to the timing of Be⁺ transport, mirror coil energisation, and plasma handling further improved the net trapping efficiency.
With the losses mitigated and sympathetic cooling optimised, ALPHA recorded up to 163 trapped antihydrogen atoms per cycle and accumulated more than 15 000 trapped atoms in under seven hours — an unprecedented achievement for the field. Over the full span of the 2023–24 run, well over two million antihydrogen atoms were produced in total.

Figure 2. Trapping efficiency of antihydrogen as a function of positron temperature, showing increased trapping at lower temperatures. From Akbari, R., de Araujo Azevedo, L. O., Baker, C. J. et al. Be⁺-assisted, simultaneous confinement of more than 15,000 antihydrogen atoms. Nat. Commun. 16, 10106 (2025). https://doi.org/10.1038/s41467-025-65085-4. CC-BY-4.0.

Figure 3. Evolution of antihydrogen accumulation rates in 2023–24, illustrating the impact of Be⁺-assisted positron cooling on trapping performance. From Akbari, R., de Araujo Azevedo, L. O., Baker, C. J. et al. Be⁺-assisted, simultaneous confinement of more than 15,000 antihydrogen atoms. Nat. Commun. 16, 10106 (2025). https://doi.org/10.1038/s41467-025-65085-4. CC-BY-4.0.
Such a leap in production capacity changes the pace of antimatter research. Experiments that once required weeks to gather sufficient statistics can now be performed almost daily. Systematic studies become more robust, as multiple measurements can be repeated under varied conditions within the same runtime.
Niels Madsen, ALPHA deputy spokesperson and leader of the positron-cooling project, emphasises the impact:
“The new technique is a real game-changer when it comes to investigating systematic uncertainties in our measurements. We can now accumulate antihydrogen overnight and measure a spectral line the following day.”
This capability strengthens ALPHA’s entire research programme, from precision spectroscopy and hyperfine structure measurements to ongoing studies of gravity using the vertical ALPHA-g apparatus. Higher statistics also open doors to more ambitious tests of fundamental symmetries, including new comparisons between hydrogen and antihydrogen.
The implementation of sympathetic cooling marks a turning point. By addressing one of the main bottlenecks in antihydrogen production, ALPHA has made controlled, high-yield antimatter synthesis routine. The collaboration is now positioned to explore more challenging measurements, probe deeper into the properties of antimatter, and refine the limits of CPT symmetry. The data from the current article were obtained using the ALPHA-2 spectroscopy apparatus. In the 2025 Run, the collaboration has succeeded in implementing sympathetic cooling in the ALPHA-g machine as well. The equally impressive results will be published separately.
As the Antimatter Factory prepares for future upgrades and new experimental concepts, the breakthrough in positron cooling stands as a reminder that even subtle innovations in plasma manipulation can unlock transformative capabilities. For ALPHA, the era of high-throughput antihydrogen science has just begun.